|
|
|
|
|
How to Use the Pythagorean
Theorem |
|
|
Over 2,500
years ago, a Greek mathematician named Pythagoras developed a
proof that the relationship between the hypotenuse and the legs
is true for all right triangles. |
|
"In
any right triangle, the square of the length of the hypotenuse
is equal to the sum of the squares of the lengths of the
legs." |
|

This
relationship can be stated as:

and is
known as the
Pythagorean
Theorem. |

a, b are legs.
c is the hypotenuse
(c is across from
the right angle).
|
 |
There are
certain sets of numbers that have a very special property.
Not only do these numbers satisfy the Pythagorean Theorem, but
any multiples of these numbers also satisfy the Pythagorean
Theorem. |
For
example:
the numbers 3, 4, and 5 satisfy the Pythagorean Theorem. If you
multiply all three numbers by 2 (6, 8, and 10), these new numbers
ALSO satisfy the Pythagorean theorem.
The special sets
of numbers that possess this property are called
Pythagorean Triples.
The
most common Pythagorean Triples are:
3,
4, 5 5, 12,
13 8, 15, 17
|
REMEMBER:
The
Pythagorean Theorem ONLY works in
Right
Triangles ! |
|

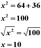
Example 1:
|
Find x.
Answer:
10 m |

|
This
problem could also be solved using the Pythagorean Triple 3, 4, 5.
Since 6 is 2 times 3, and 8 is 2 times 4, then x must be 2 times 5.
|

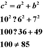
Example 2:
|
A
triangle has sides 6, 7 and 10.
Is it a right triangle?
Let a = 6, b = 7 and c =
10. The longest side MUST be the hypotenuse, so c =
10. Now, check to see if the Pythagorean Theorem is true. |
|
 |
Since the
Pythagorean Theorem is NOT true, this triangle is NOT
a right triangle. |

Example 3:
 |
A ramp was
constructed to load a truck. If the ramp is 9 feet long
and the horizontal distance from the bottom of the ramp to the
truck is 7 feet, what is the vertical height of the ramp? |
|
Since
the ramp is described as having horizontal and vertical
measurements, a right angle is implied. Solve using the
Pythagorean Theorem: |
|
 |
The
height of the ramp is 5.7 feet. The ramp will allow
packages to be loaded into an area of the truck that is too high
to be reached from the ground. |
|