EL TEOREMA DE LA TEORÍA POTENCIAL ELECTROSTÁTICA El problema plano en coordenadas cartesianas

El problema es plano con respecto a la coordenada ¨Z¨. Es independiente de Z.

Dos constantes dieléctricas Er, Eo se separan en la superficie Y=Y2
El cilindro metálico interno está a un potencial V0
El cilindro externo está conectado a tierra V=0
La configuración es simétrica respecto a ¨ X2¨

Gracias a la simetría, solo se resuelve la mitad del problema:

Se divide el problema en tres problemas parciales:
La configuración no contiene cargas dentro del cilindro.
Se debe determinar la solución de la ecuación de Laplace bidimensional para V(x,y)
![]()
Utilizando el artificio del producto V(x,y)=X(x)Y(y) se lleva a 2 ecuaciones diferenciales:
![]()
![]()
Llegando a las siguientes soluciones:
Xp(x)=ApCos(px)+BpSen(px)
X0(x)=A0+B0X
Yp(y)=CpCosh(py)+DpSenh(py)
Y0(y)=C0+D0Y
Determinar la solución de la Ecuación Diferencial de Laplace, implica sumar todas las soluciones anteriores para cada valor de ¨P¨
![]()
Para la solución de la Ecuación de Laplace:
![]()
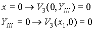
DETERMINACIÓN DE LA SOLUCIÓN DE LA ECUACIÓN DE LAPLACE EN LA ZONA I

Condiciones de frontera homogénea:
Para Yc constante, V1(x2,yc) es igual a Vo.
![]()
cuando x = X2
Para X=0
® V1(0,y)Con la solución general de la ecuación de Laplace tenemos:
![]()
La solución de Laplace se simplifica ya que A0 = 0 y Ap= 0 y se obtiene:
1-2
Para Y=0
® V1(x,0) = 0Con la solución 1-2 se obtiene:
![]()
La solución de la ecuación 1-2 se simplifica, ya que B0C0 = 0 y Cp=0
![]()
Ap´ = BpDp 1-3
Para y constante, entonces:
![]()
Cuando x = X2
Con la solución 1-3 se obtiene:
![]()
B0D0 = 0 1-4
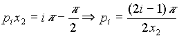
Se tiene la función Eigen:
Cos(pix2) = 0
y los valores Eigen:
pix2=ip -p /2
![]()
con i=1,2,3,4,5,6,7...
Simplificación del potencial 1-3:
1-5
Se norma al valor ¨V0¨ a V1:
V1(x,y) = V1(x,y)/V0
Determinación de la expresión matricial

Definición de Matrices:
El potencial: V1(x,y)= FT(x)senh[Py]A
DETERMINACION DE LA SOLUCION DEL POTENCIAL O ECUACION DE LAPLACE EN LA ZONA II

Desplazamiento de coordenadas
YII = Y-(Y1+Y2)/2 2-1
Condiciones de frontera homogénea:
La solución general de la Ecuación de Laplace es:
![]()
Con las condiciones de frontera 2-2 se tiene:
![]()
A0 = 0 y Aq = 0
El potencial:
![]()
Utilizando la condición de frontera:
![]()
se tiene:
![]()
B0D0 = 0 2-5
La función Eigen:
sen(qix1) = 0
teniendo como valores Eigen:
qixi = ip qi= ip /xi
Analizando la ultima condición de frontera se tiene:
V2(x1,YII) = V0
con 2-5
![]()
V0 = B0Cox1
B0C0 = V0/x1 2-6
El artificio del potencial:

* GT(x) = Vector Transpuesto de sen(qix)
* Q = Matriz diagonal de qi
* B = Vector de constantes B´qi
* C = Vector de constantes Cqi
Se norma a V0
V2(x,YII) = V2(x,YII)/V0
ARTIFICIO DEL POTENCIAL EN LA ZONA III

![]()
![]()

Condiciones de Frontera
(3-1)
![]()

Soluciones de la Ecuación de Laplace
...
(3-2)
Para ![]()
![]()
y ![]()
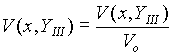
El Potencial
(3-3)
![]()
![]()
![]()
![]()
El Potencial
(3-4)
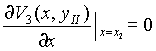
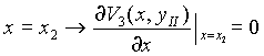
C) Condición

Con el potencial (3-4)

![]()
Función Eigen
(3-5)
Debe cumplirse

Valores Eigen
Para el potencial con (3-4)
(3-6)
Forma Matricial

Valor Normado

vector transpuesto de ![]()
P = Matriz diagonal de ![]()
D = Vector de constantes ![]()
![]()
(3-7)

Los resultados de los potenciales se norman de manera tal que se obtengan tangentes y cotangentes hiperbolicas.
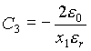
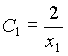
DETERMINACION DE LAS CONSTANTES
Zona I

Zona II

Zona III


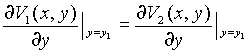
Para ![]()
El flujo en dirección
es continuo y constante en las superficies de contacto de las regiones I y II
![]()

![]()


para
(1)
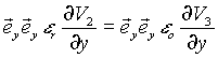
Para
el flujo normal a la superficie de contacto es continuo
![]()

![]()


para
(2)
El potencial es continuo
Para ![]()
(3)
Para ![]()
(4)
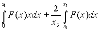
Con las condiciones (1), (2), (3), (4) se aplican al sistema de los artificios de potencial. Se obtienen
![]()
Para ![]()

Para 0<= x <= X2
![]()
para ![]()
![]()

para x1 <= x <= X2 (5)
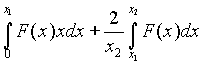
Se obtiene un sistema de cuatro (4) ecuaciones para las constantes A,B,C,D.
El sistema se simplifica aplicando conceptos de funciones ortogonales.
Se determinan matrices unitarias para simplificar el calculo.

----------------------------------------------
M-------------------------------------------------Matriz Unitaria


-----------------------------------
Matriz Unitaria-----------------------------MT

vector S

---------------------------------------
M--------------------------------------------------------------Matriz Unitaria

----------------------------------
Matriz Unitaria-----------------------------MT
(6)
vector S
Simplificación del sistema para A, B, C, D



(7)
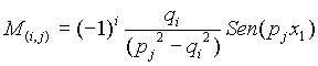
CARACTERISTICAS Y ELEMENTOS DE LAS MATRICES
La matriz unitaria

para ![]()
para ![]()
Para la matriz cuadrada M


Para ![]()

Para ![]()

Forma General

El vector S




Simplificación de la representación matricial
Vectores
Va=A, Vb=B, Vc=C, Vd=DMatriz
Cuadrada Ma=MMatrices
diagonales Dp=P, Dq=Q,
![]()


![]()
Constantes

El Sistema
![]()
![]()
![]()
![]()
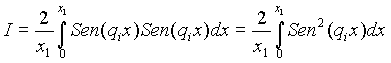
Sistema para Vc y Vb
![]()
![]()
![]()
![]()

Vc y Vb se determinan por el método de Gauss
![]()
![]()
Ahora se procede a la determinación de las incógnitas y la graficación del potencial en el espacio bidimensional dentro del sistema.
[
PÁGINA PRINCIPAL] [SIGUIENTE][
CONOCIMIENTOS BÁSICOS] [PRINCIPIOS DEL CAMPO ELÉCTRICO ESTACIONARIO][
PRINCIPIOS DEL CAMPO MAGNÉTICO ESTACIONARIO] [LAS ECUACIONES DE MAXWELL][
POTENCIAL ELECTRODINÁMICO] [PROPAGACIÓN DE ONDAS]