PROBLEMA SIMÉTRICO - ROTACIONAL EN COORDENADAS CILÍNDRICAS PRIMER PROBLEMA: El sistema está conformado por tres arandelas de dimensiones idénticas, separadas, pero compartiendo el mismo eje e inmersas en un medio dieléctrico entre dos superficies planas de dimensiones infinitas cuyos vectores direccionales son paralelos al eje central de las arandelas. Estas dos superficies están conectadas a tierra, las arandelas externas también se encuentran conectadas a tierra mientras que la del centro está a un potencial V0. En la gráfica se muestra un corte transversal del sistema, en el plano
Es por esta razón que el sistema puede ser dividido en cuatro sectores iguales, y con hacer el estudio de sólo uno de ellos, se obtendrá automáticamente el estudio de los otros tres. El estudio de los sectores se refiere a la determinación de la forma de las superficies equipotenciales en los planos "f constante" del sistema de coordenadas cilíndricas.
Bajo estas consideraciones, el problema puede reducirse al subsistema que se muestra en la siguiente gráfica:

Dado a las condiciones geométricas del problema, este subsistema esta distribuido en cuatro regiones:
Región I
: 0 <= z <= Z4 y 0 <= r <= r 1.Región II
: Z1 <= z <= Z2 y r 1 <= r <= r 2.Región III
: Z3 <= z <= Z4 y r 1 <= r <= r 2.Región IV
: 0 <= z <= Z4 y r 2 <= r < ¥ .
Hay que tener pendiente que todo el sistema está inmerso en un mismo medio dieléctrico.
Se sabe que el potencial depende del eje z y del eje r y de la naturaleza del medio dieléctrico.
V = V(z,
r )
Además se sabe que a parte del sistema no existen otras fuentes de campo eléctrico, es decir, no existe densidad alguna de carga espacial, por lo tanto, partiendo de la ecuación de Poisson, que describe al campo electrostático, se obtiene lo siguiente:
![]()
r
= 0 Þ D V = 0(
r representa a la densidad de carga espacial)
![]()
Esta es la ecuación diferencial de Laplace para el potencial eléctrico del problema simétrico rotacional en coordenadas cilíndricas.
Debido a la dependencia del potencial de los ejes z y
r , puede hacerse uso del artificio del producto de Bernoulli
V(z,
r ) = R(r )Z(z)
para la determinación de la forma de la ecuación diferencial del potencial, aplicándola a la ecuación diferencial de Laplace:
![]()
Una solución general para esta ecuación diferencial es:
![]()
donde Co, Do, Ao, Bo, Cn, Dn, An y Bn son constantes desconocidas, Io(n
r ) y Ko(nr ) son las Funciones de Bessel modificadas de orden cero, de primera y segunda clase, respectivamente.
Así como el subsistema puede estar distribuido geométricamente en las cuatro regiones indicadas anteriormente, así también la solución general obtenida para el potencial eléctrico puede ser expresada como una función continua por sectores, como se muestra a continuación:

Bajo todas estas consideraciones, se procede a determinar la solución de la ecuación diferencial de Laplace para el potencial en cada una de las regiones del subsistema.
DETERMINACIÓN DE LA SOLUCIÓN A LA ECUACIÓN DIFERENCIAL DE LAPLACE PARA EL POTENCIAL EN LA REGIÓN I:
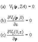
Condiciones de frontera homogéneas:

De la solución general obtenida de la ecuación de Laplace para el potencial, para la región I se tiene:

Ahora, con las condiciones de frontera, se procede a determinar la expresión simplificada para el potencial en la región I.
Con la condición "b":

para que la condición "b" sea válida, Do = 0 y Dp = 0. Por lo tanto la expresión del potencial para la región I se simplifica de la siguiente forma, ignorando el producto de las constantes desconocidas:

Con la condición "a":
![]()
para que la condición "a" sea válida, Ao = 0, Bo = 0 y Cos(pZ4) = 0.
Para que Cos(pZ4) = 0, que son las funciones Eigen de la región I, debe cumplirse lo siguiente:
piZ4 =
p (2i-1)/2 Þ pi = p (2i-1)/(2 Z4)con i = 1, 2, 3, ...
estos son los valores Eigen del sistema.
Bajo estas consideraciones, la expresión del potencial se simplifica a la forma que se muestra a continuación:
![]()
Con la condición "c":

para que esta condición sea válida, debe cumplirse que Bpi = 0, entonces, la expresión de la solución de la ecuación de Laplace para el potencial eléctrico queda simplificado de la siguiente forma:
![]()
Normando la expresión del potencial a Vo, se obtiene lo siguiente:
![]()
Haciendo Api = C1pi y expresando VI(
r ,z), se tiene la forma siguiente para el potencial:

Haciendo:
FT(z) = [Cos(p1z), Cos(p2z), ... , Cos(piz)];
P una matriz diagonal cuyas componentes son los valores Eigen del sistema;
C1 el vector cuyas componentes son las constantes C1pi;
la expresión del potencial queda determinada de la siguiente manera:
VI(
r ,z) = FT(z) Io(Pr ) C1
DETERMINACIÓN DE LA SOLUCIÓN A LA ECUACIÓN DIFERENCIAL DE LAPLACE PARA EL POTENCIAL EN LA REGIÓN II

Desplazamiento del eje de coordenadas:
ZII = Z - Z1
CONDICIONES INICIALES:
![]()

![]()
LA SOLUCION GENERAL DE LAPLACE:
![]()
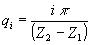
SE OBTIENEN FUNCIONES EIGEN:
![]()
VALORES EIGEN:
![]()
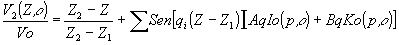
Para el potencial normado:
![]()
REPRESENTACION MATRICIAL:
GT (Z) = Vector transpuesto de Sen[qi(Z-Z1)]
Q = Matriz diagonal de qi
C2 = Vector de constantes C2qi
C3 = Vector de constantes C3qi
EL ARTIFICIO DEL POTENCIAL EN EL ESPACIO II:

DETERMINACIÓN DE LA SOLUCIÓN A LA ECUACIÓN DIFERENCIAL DE LAPLACE PARA EL POTENCIAL EN LA REGION III:

EL DESPLAZAMIENTO DE COORDENADAS:
ZIII = Z - Z3
Las condiciones iniciales:
![]()
Se aplican las condiciones iniciales en la ecuación de Laplace:
![]()
Se obtienen las funciones Eigen:
![]()
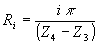
VALORES EIGEN:
![]()
REPRESENTACION MATRICIAL:
HT(z) = Vector transpuesto de Sen (Ri (Z4 - Z3)
R = Matriz Diagonal de Ri
C4 y C5 = Vectores de constantes.
ARTIFICIO DE POTENCIAL REGION III:
![]()
DETERMINACIÓN DE LA SOLUCIÓN A LA ECUACIÓN DIFERENCIAL DE LAPLACE PARA EL POTENCIAL EN LA REGIÓN VI:
Condiciones de frontera:
![]()
![]()
![]()
Se aplican las condiciones iniciales en la ecuación de Laplace:
![]()
Con la primera condición, para Z = 0:
![]()
Se obtienen:
Do = 0 y Dp = 0
Con la condición V4 = 0, para Z = Z4
Se obtiene: Co = 0, y se obtienen la funciones Eigen:
![]()
VALORES EIGEN:
![]()
EL POTENCIAL SE SIMPLIFICA:
![]()
Con la condición V4 = 0, para r ® ¥

![]()
Entonces AP = 0.
Se norma el potencial a Vo:
![]()
REPRESENTACION MATRICIAL:
FT(z) = Vector Transpuesto de Cos(piZ)
P = Matriz diagonal de pi
C6 = Constantes Bpi
EL ARTIFICIO DEL POTENCIAL EN LA REGION IV:
![]()
Para evitar problemas en los cálculos computarizados se norman las funciones de Bissel modificadas:
![]()


![]()
DETERMINACIÓN DE LAS CONSTANTES

El sistema está conformado por tres arandelas de dimensiones idéticas, separadas, pero compartiendo el mismo eje e inmersas en un medio dieléctrico entre dos superficies planas de dimensiones infinitas cuyos vectores direccionales son paralelos al eje central de las arandelas. Estas dos superficies están conectadas a tierra, las arandelas externas también se encuentran conectadas a tierra mientras que la del centro está a un potencial V0. Este sistema simétrico rotacional puede ser dividido en cuatro sectores cada uno igual al que se muestra a continuación.

Cada sector, a su vez, puede estar distribuido en cuatro regiones como las de la figura.
En la región I se tiene que VI(r ,z) es, normalizado:
![]()
y expresándolo en forma matricial es:
VI(r ,z) = FT(z) I0(Pr ) C1
En la región II se tiene que VII(r ,z) es, normalizado:
![]()
y expresándolo en forma matricial es:
VII(r ,z) = (Z2 - z)/(Z2 - Z1) + Gt(z) [ I0(Qr ) C2 + K0(Qr ) C3 ]
En la región III se tiene que VIII(r ,z) es, normalizado:
![]()
y expresándolo en forma matricial es:
VIII(r ,z) = Ht(z) [ I0(Rr ) C4 + K0(Rr ) C5 ]
En la región IV se tiene que VIV(r ,z) es, normalizado:
![]()
y expresándolo en forma matricial es:
VIV(r ,z) = Ft(z) K0(Pr ) C6
Con las condiciones de continuidad en las superficies de contacto entre las regiones I, II, III y IV, para el potencial y para la primera derivada del potencial, se obtiene lo siguiente:
Entre la zona I y la zona II:
Z1 <= z <= Z2 y r = T1

Al aplicar la condición de continuidad entre la zona I y II se tiene lo siguiente:
(1)
Entre la zona I y la zona III:
Z3 <= z <= Z4 y r = T1

Al aplicar la condición de continuidad entre la zona I y III se tiene lo siguiente:
(3)
Entre la zona IV y la zona II:
Z1 <= z <= Z2 y r = T2
![]()
Al aplicar la condición de continuidad entre la zona IV y II se tiene lo siguiente:
(2)
Entre la zona IV y la zona III:
Z3 <= z <= Z4 y r = T2
![]()
Al aplicar la condición de continuidad entre la zona IV y III se tiene lo siguiente:
(4)
Estas son las cuatro ecuaciones de continuidad para las primeras derivadas parciales.
Para r = T1 se obtiene la función normada de VI(r ,z) en las superficies de contacto de la zona I con las zonas II, III y los anillos que conforman el sistema.

Expresándolo en forma matricial:
(5)
Para r = T2 se obtiene la función normada de VIV(r ,z) en las superficies de contacto de la zona IV con las zonas II, III y los anillos que conforman el sistema.

Expresándolo en forma matricial:
(6)
Ahora se tienen seis ecuaciones con seis incógnitas.
DESARROLLO CON FUNCIONES ORTOGONALES
Multiplicando la ecuación (5) por F(z) y por 2/Z4 y expresándola en forma integral, se obtiene lo siguiente:

(5.2)
En el primer miembro de la igualdad la cantidad encerrada entre corchetes es una matriz unitaria; en el segundo miembro, en el primer término, la integral es la transpuesta de una matriz que se representará con M1, de la misma manera, en el segundo término, la integral es la transpuesta de una matriz que se representará con M2, y los dos últimos términos conforman un vector que se representará con S.
Haciendo el mismo procedimiento para la ecuación (6), se obtiene lo siguiente:


En el primer miembro de la igualdad la cantidad encerrada entre corchetes es una matriz unitaria; en el segundo miembro, en el primer término, la integral es la transpuesta de la matriz que se representará con M1, de la misma manera, en el segundo término, la integral es la transpuesta de la matriz que se representará con M2, y los dos últimos términos conforman el vector que se representará con S.
Multiplicando la ecuación (1) por G(z) y por 2/(Z2 - Z1) y expresándola en forma integral, se obtiene lo siguiente:

De la misma manera, para la ecuación (2), se obtiene lo siguiente:

Multiplicando la ecuación (3) y (4) por G(z) y por 2/(Z4 - Z3) y expresándolas en forma integral, se obtiene respectivamente lo siguiente:
(3.2)
(4.2)
En el primer miembro de las ecuaciones (3.2) y (4.2), la integral es la matriz que se representará con M2 y en el segundo miembro de la igualdad, la cantidad encerrada entre corchetes es una matriz unitaria.

Los elementos de estas matrices se muestran a continuación:



Recordando que qi y pi son los valores Eigen determinados anteriormente para cada zona.
A partir de la ecuación (5) todas las cantidades encerradas entre paréntesis son matrices diagonales, para simplificar el sistema es necesario representar estas matrices de la manera siguiente:

De la misma manera, para las constantes, se puede simplificar el sistema haciendo lo que se muestra a continuación:

Con todas estas definiciones, el sistema de ecuaciones queda simplificado de la manera siguiente:

Los vectores de constantes se determinan aplicando el método numérico más apropiado para este sistema de ecuaciones, como podría ser, por ejemplo, el método de Gauss con sustitución hacia atrás, que consiste en expresar este sistema en la forma matricial
A.C = S
Donde A es una matriz que contiene los coeficientes del sistema, C es un vector que contiene a las incógnitas C1, C2, C3, C4, C5 y C6, y S es un vector que contiene los vectores S.
El método de Gauss con sustitución hacia atrás consiste en expresar el sistema A.C = S en forma de matriz expandida
[ A | S ]
Y por medio de operaciones matemáticas, la parte A se convierte en una matriz triangular superior.
[
PÁGINA PRINCIPAL] [SIGUIENTE][
CONOCIMIENTOS BÁSICOS] [PRINCIPIOS DEL CAMPO ELÉCTRICO ESTACIONARIO][
PRINCIPIOS DEL CAMPO MAGNÉTICO ESTACIONARIO] [LAS ECUACIONES DE MAXWELL][
POTENCIAL ELECTRODINÁMICO] [PROPAGACIÓN DE ONDAS]