Back to Project Page
Kim's Page
Leah's Page
Rod's Page
Metabolic pathways
Chemical reactions are needed to extract the chemical bond energy from energy supplying compounds and to synthesize different biological molecules.
Chemical reactions in biological systems are organized into sequences - these are called metabolic pathways.
Organizing the reactions into pathways permits control of the rate and direction of the cellular activity.
Control of pathways
Control is achieved via the enzymes, which specifically catalyze each of the steps in a pathway. Individual reactions can be stimulated or inhibited by changing the concentration of key compounds or by chemical modification of the enzyme catalyzing the reaction. It is often the role of intercellular messengers called hormones to carry out these functions.
Organizing the reactions into pathways also prevents very large chemical bond energy releases which would be damaging to cells permits branch points allows pathways to be directed (under different circumstances) to different end products such as NADH and ADP.
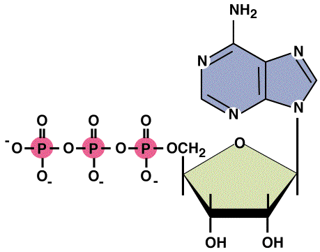
NADH

3 VIEWS OF ATP
Metabolism
Metabolism is the sum of all the chemical reactions within a biological system related to the management of the supply of energy to power cellular activity and the generation of molecules for cellular syntheses.
Metabolism is divided into :
Catabolism - this is the oxidation of biological fuels to produce energy in the form of ATP.
Oxidation of biological fuels (which are largely hydrocarbons) ultimately to carbon dioxide and water is the mechanism for energy release. Some of this energy is lost as heat, but much is captured in the chemical bond energy of ATP.
Anabolism - this is the synthesis of molecules using energy supplied in the form of ATP.
The molecules, which are the precursors of biological polymers, are either supplied in the diet or synthesized within cells. Both processes require energy.
Oxidation/reduction reactions
Oxidation reactions are always paired with reduction reactions. The two reaction types involve electron transfer between molecules. Oxidation is a loss of electrons from a molecule. It is often accompanied by a loss of one or more hydrogen atoms from the molecule.
Reduction is the gain of electrons by a molecule. It is often accompanied by a gain of one or more hydrogen atoms by the molecule.
Dehydrogenase enzymes and their cofactors
A class of enzyme designated as dehydrogenases catalyzes metabolic oxidation/reduction reactions. These enzymes use one of a limited number of cofactors as electron acceptors or electron donors to complete the reaction as the metabolic substrate is reduced or oxidized.
Biological fuels
Three groups of biological molecules are considered to be "fuels" for the body. They are:
Proteins - The monomers of proteins (amino acids) are a significant fuel for carnivores (meat eaters), but are a less significant component of our omnivorous diet. Proteins provide an important reserve of fuel molecules but are only used to a large extent in circumstances of very prolonged starvation.
Fats - These are stored primarily as triglycerides in adipose tissue and make up our major fuel store. The fatty acid components of triglycerides are readily oxidized to produce ATP.
Subsequent parts of this module discuss the role of each of these in metabolism. Ultimately they are oxidized to carbon dioxide and water. The metabolic pathways are directed towards fuel oxidation with simultaneous ATP synthesis when energy is required. At times of rest the metabolic pathways are reversed to facilitate storage of fuels for use in times of need.