Site hosted by Angelfire.com: Build your free website today!

10. Χρήση του μικρόκοσμου μας για λύση προβλημάτων καρτεσιανής γεωμετρίας

10.1. Εισαγωγή

Με την έρευνα που κάναμε σε παιδιά ηλικίας 11 ετών προσπαθήσαμε να διαπιστώσουμε κατά πόσο το πρόγραμμά μας μπορεί να βοηθήσει μικρά παιδιά στην εκμάθηση των καρτεσιανών συντεταγμένων.

Στο υπάρχον πρόγραμμα σπουδών, τα παιδιά εισάγονται στην έννοια των καρτεσιανών συντεταγμένων στην Β’ Γυμνασίου.  Παράλληλα μπορούν να διδαχτούν και τις έννοιες της καρτεσιανής γεωμετρίας μέσα από την LOGO (SETPOS). Με το μικρόκοσμό μας, τα παιδιά όχι μόνο μπορούν να κατανοήσουν ευκολότερα τη θεωρία, αλλά μπορούν και να επιλύουν προβλήματα τα οποία υπάρχουν στο σχολικό βιβλίο.

Αλλά ο μικρόκοσμός μας μπορεί να χρησιμοποιηθεί για την επίλυση προβλημάτων που παρουσιάζονται σε μαθηματικά μεγαλυτέρων τάξεων. Για παράδειγμα ακόμα και στα μαθηματικά της Α’ Δέσμης υπάρχουν προβλήματα που ο μικρόκοσμος μπορεί να βοηθήσει. Εφόσον είναι δεδομένη η χρήση καρτεσιανής γεωμετρίας είναι απαραίτητο να σχεδιαστούν και οι άξονες.  Αυτοί γίνονται απλά φέρνοντας δύο γραμμές.

Στη συνέχεια θα δούμε τρεις ασκήσεις, που βρίσκονται στα σχολικά βιβλία. Η πρώτη είναι από το βιβλίο της Β’ Γυμνασίου και οι άλλες δύο από το βιβλίο της Αναλυτικής Γεωμετρίας της Α’ Δέσμης στην Γ’ Λυκείου.
 

10.2. Παράλληλη μεταφορά σχήματος ως προς τον άξονα Χ και τον άξονα Υ

Η παρακάτω άσκηση είναι από το βιβλίο της Β’ Γυμνασίου[1] και βρίσκεται στο κεφάλαιο 3 των πραγματικών αριθμών.  Ειδικότερα είναι η άσκηση 11 της παραγράφου 3.5 που μιλάει για "συντεταγμένες στο επίπεδο".

Να σχεδιάσετε το τρίγωνο που έχει κορυφές τα σημεία Α(3,5), Β(1,1), Γ(6,1).
α) Αν το τρίγωνο αυτό μετακινηθεί παράλληλα προς τον άξονα xx’ κατά 8 μονάδες "αριστερά", να βρείτε τις νέες συντεταγμένες των κορυφών του.
β) Αν το νέο τρίγωνο μετακινηθεί παράλληλα προς τον άξονα yy’ κατά 5 μονάδες "πάνω", να βρείτε τις συντεταγμένες των κορυφών του στη θέση αυτή.

Τα βήματα για την λύση αυτής της άσκησης είναι:

Αν προσπαθήσουμε να την λύσουμε με κλασικά μαθηματικά πρέπει πρώτα να γίνει ο σχεδιασμός του αρχικού τριγώνου.


Κατόπιν, το παιδί πρέπει να σκεφτεί ότι για να γίνει η μεταφορά παράλληλα προς τον άξονα xx’ κατά 8 μονάδες "αριστερά", πρέπει να αφαιρέσει από την X-συντεταγμένη κάθε κορυφής 8 μονάδες. Ταυτόχρονα πρέπει να διατηρηθεί η Υ-συντεταγμένη σταθερή. Έτσι οι νέες συντεταγμένες είναι Α’(-5,5), Β’(-7,1), Γ’(-2,1). Τότε γίνεται ο σχεδιασμός του νέου τριγώνου.

Το ίδιο μπορεί να κάνει φέροντας από κάθε κορυφή του τριγώνου ευθύγραμμα τμήματα "προς τα αριστερά" παράλληλα προς τον άξονα xx’, τα οποία έχουν μήκος 8 μονάδες.  Μετά πρέπει να ενώσει τα τρία άκρα των ευθυγράμμων τμημάτων και να προσδιορίσει τις συντεταγμένες κάθε σημείου από το σχήμα μετρώντας τις αποστάσεις από την αρχή των αξόνων.

Όμοια επιλύεται το δεύτερο ερώτημα στο οποίο βρίσκουμε
Α’’ (-5,10), Β’’(-7,6), Γ’’(-2,6)


Αν θελήσουμε να λύσουμε την ίδια άσκηση με τη βοήθεια του μικρόκοσμού μας πρέπει να ακολουθήσουμε τα ίδια βήματα.
Ο σχεδιασμός του τριγώνου γίνεται μέσα σε μια διαδικασία TRIGONO. Ο καθορισμός των κορυφών γίνεται με την βοήθεια της SETPOS.
TO TRIGONO
PU
SETPOS [30 50]
PD
SETPOS [10 10]
SETPOS [60 10]
SETPOS [30 50]
END

Στη συνέχεια δίνουμε ένα όνομα στο σχήμα ώστε να μπορούμε να αναφερόμαστε σ’ αυτό και στη συνέχεια το επιλέγουμε για να το μετακινούμε.
TAG [TRIGONO] "T
GET "T


 

Για να γίνει η πρώτη μετακίνηση αρκεί να δώσουμε
SET [-80 0]

Έτσι μπορούμε να υπολογίσουμε τις νέες συντεταγμένες με τη βοήθεια του grid και των αξόνων. Αυτές είναι Α’(-5,5), Β’(-7,1), Γ’(-2,1).

Στη συνέχεια για την δεύτερη μετακίνηση δίνουμε
SET [0 50]

Έτσι υπολογίζουμε πάλι από το σχήμα τις νέες συντεταγμένες οι οποίες είναι Α’’ (-5,10), Β’’(-7,6), Γ’’(-2,6).
Στην παραπάνω λύση όλες οι συντεταγμένες που χρησιμοποιήσαμε είναι πολλαπλασιασμένες με το 10 επειδή αυτή είναι η απόσταση μεταξύ των σημείων του grid.

Μια παραλλαγή της παραπάνω άσκησης, που θα ζητούσε και περιστροφή του σχήματος και κατόπιν την μεταφορά του, ενώ με τη χρήση του μικρόκοσμου θα παρέμενε εξίσου απλή άσκηση, με τη χρήση της καρτεσιανής γεωμετρίας η λύση της θα ήταν αρκετά δύσκολη.

Έστω η εκφώνηση:
Να σχεδιάσετε το τρίγωνο που έχει κορυφές τα σημεία Α(3,5), Β(1,1), Γ(6,1).
α) Να βρείτε τα στοιχεία του τριγώνου (πλευρές και γωνίες)
β) Να περιστρέψετε το τρίγωνο κατά 30 μοίρες αριστερά ως προς την κορυφή Α και να βρείτε τις νέες συντεταγμένες.
γ) Αν το τρίγωνο αυτό μετακινηθεί παράλληλα προς τον άξονα xx’ κατά 8 μονάδες "αριστερά", να βρείτε τις νέες συντεταγμένες των κορυφών του.

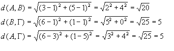
Σύμφωνα με την θεωρία [2] η απόσταση μεταξύ δύο σημείων δίνεται από τη σχέση:

Εφαρμόζοντας αυτόν τον τύπο βρίσκουμε τις αποστάσεις:

Για τις γωνίες μεταξύ των πλευρών εφαρμόζουμε την σχέση

Έτσι έχουμε
A=63,37
B=53,13
Γ=63,30

Για να σχεδιάσουμε τώρα το τρίγωνο φτιάχνουμε τη διαδικασία:
TO TRIGONO
FD 180
LT 180 - 53,13
FD 50
LT 180 - 63,37
FD 44,619
LT 180 - 63,30
END

Για να περιστρέψουμε το τρίγωνο, απλά στρίβουμε τη χελώνα κατά 30 μοίρες αριστερά.
TO STROFH.TRIGONOY
LT 30
TRIGONO
END


Για να βρούμε τις νέες συντεταγμένες αρκεί να βάλουμε τη χελώνα να κάνει το γύρο του τριγώνου και σε κάθε κορυφή να μας τυπώνει τη θέση της.

Έτσι βρίσκουμε ότι
Α’(7.27 , 54.53), Β’(10, 10), Γ’(53.3,35)

Δίνοντας τώρα
TAG [STROFH.TRIGONOY] "T
GET "T
SET [-80 0]

μεταφέρουμε το περιστραμένο τρίγωνο.

Πάλι κάνοντας το γύρο του τριγώνου βρίσκουμε τις νέες κορυφές
Α’’(-72.73,54.53), Β’’(-70,-10), Γ’’(26.7,35)

Για το τελευταίο ερώτημα κάνουμε πάλι τα ίδια δίνοντας:
SET [0 50]
και τελικά βρίσκουμε ότι
Α’’’(-72.73,4.53), Β’’’(-70,-40), Γ’’’(26.7,-15)
Για να λυθεί το ίδιο πρόβλημα μόνο με την καρτεσιανή γεωμετρία είναι πολύ δύσκολο για το επίπεδο του λυκείου.
 

10.3. Εύρεση συμμετρικού σημείων

Η δεύτερη άσκηση είναι από το βιβλίο της Γ’ Λυκείου[2] για την Αναλυτική Γεωμετρία. Βρίσκεται στο κεφάλαιο 2 για τις "συντεταγμένες στο επίπεδο" και αναφέρεται ειδικότερα στην παράγραφο "συντεταγμένες διανυσμάτων". Η άσκηση είναι η 14.

Δίνονται τα σημεία Α(3,-4) και Β(2,1). Να βρεθεί:
i) Το συμμετρικό του Α ως προς κέντρο συμμετρίας το Β
ii) Το  συμμετρικό του B ως προς κέντρο συμμετρίας το A

Λύνοντας το με τα συνήθη μαθηματικά πρέπει πρώτα να βρούμε την διαφορά της X-συντεταγμένης του πρώτου σημείου από το δεύτερο. Στη συνέχεια προσθέτουμε αυτή την διαφορά που βρήκαμε στη Χ-συντεταγμένη του δεύτερου σημείου και έτσι βρίσκουμε την Χ-συντεταγμένη του τελικού σημείου. Αντίστοιχα ενεργούμε για τις Υ-συντεταγμένες.

Έτσι η λύση στην παραπάνω άσκηση είναι Α’(1,6) Β’(4,-9).

Για την λύσουμε με τη βοήθεια του μικρόκοσμού μας πρέπει κατ’ αρχήν να σχεδιάσουμε τα σημεία στις θέσεις που πρέπει.  Για κάθε σημείο φτιάχνουμε ένα μικρό τετράγωνο.
TO SHMEIO
REPEAT 4 [FD 2 RT 90]
END

Έτσι τον σχεδιασμό των σημείων δίνουμε
PU
SETPOS [30 -40]
PD
SHMEIO
PU
SETPOS [20 10]
PD
SHMEIO

Για να βρούμε το συμμετρικό του Α ως προς Β φτιάχνουμε ένα σημείο πάνω στο Α. Κατόπιν το μετακινούμε έτσι ώστε να συμπέσει πάνω στο Β και κάνουμε την ίδια μετακίνηση ώστε να βρούμε το συμμετρικό του.
Έτσι δίνουμε
PU
SETPOS [30 -40]
PD
TAG [SHMEIO] "A
GET "A
SET [-10 50]

Και κάνοντας την ίδια μετακίνηση βρίσκουμε το συμμετρικό του Α ως προς το Β.
SET [-10 50]

Τυπώνοντας τις συντεταγμένες του σημείου που βρίσκεται η χελώνα ή υπολογίζοντάς τες από το σχήμα, μπορούμε να βρούμε τις συντεταγμένες του συμμετρικού του σημείου Α ως προς το Β οι οποίες είναι Α’(1,6).
PR POS
10 60
Όμοια για τον υπολογισμό του συμμετρικού του Β ως προς το Α
δίνουμε
PU
SETPOS [20 10]
PD
TAG [SHMEIO] "Β
GET "Β
SET [10 -50]

Και κάνοντας την ίδια μετακίνηση βρίσκουμε το συμμετρικό του Β ως προς το Α.
SET [10 -50]

Πάλι δίνοντας
PR POS
40 -90
βρίσκουμε τις συντεταγμένες του συμμετρικού του σημείου Β ως προς το Α, οι οποίες είναι Β’(4,-9).

10.4. Εύρεση της τέταρτης κορυφής παραλληλογράμμου, δοθέντων των τριών άλλων

Από το ίδιο κεφάλαιο και την ίδια παράγραφο με την προηγούμενη άσκηση, λύνουμε την άσκηση 16.

Δίνονται οι τρεις κορυφές Α(2,3), Β(4,-1), Γ(0,5) ενός παραλληλογράμμου ΑΒΓΔ. Να βρεθεί η τέταρτη κορυφή Δ.
Για να βρούμε την τέταρτη κορυφή Δ του παραλληλογράμμου πρέπει να τοποθετήσουμε στην κορυφή Γ ένα ευθύγραμμο τμήμα (διάνυσμα) το οποίο είναι ίσο και παράλληλο με το ΑΒ. Έτσι θα βρούμε ότι το σημείο Δ έχει συντεταγμένες Δ(-2,9)


Για την επίλυση του προβλήματος αυτού κατ’ αρχήν σχεδιάζουμε τις δύο πλευρές που ορίζονται από τα δοθέντα σημεία.
TO PLEYRA1
PU
SETPOS [20 30]
PD
SETPOS [40 -10]
END

TO PLEYRA2
PU
SETPOS [40 -10]
PD
SETPOS [0 50]
END

Δίνοντας
PLEYRA1
PLEYRA2
προκύπτει το σχήμα

Για να βρούμε το τέταρτο σημείο αρκεί να μετακινήσουμε τη μία πλευρά διατηρώντας τη διεύθυνσή της μέχρις ότου το σημείο τομής των δύο πλευρών να συμπέσει με το άκρο της άλλης πλευράς. Αν κάνουμε το ίδιο και με τη άλλη πλευρά θα σχηματιστεί όλο το παραλληλόγραμμο.
Χρησιμοποιώντας το μικρόκοσμό μας δίνουμε
TAG [PLEYRA1] "P1
TAG [PLEYRA2] "P2
GET "P1
SET [-40 60]

Στη συνέχεια δίνουμε:
GET "P2
SET [-20 40]

Επειδή όπως φαίνεται στο σχήμα κατά τη μετακίνηση σβήστηκαν
οι αρχικές πλευρές, πρέπει να δώσουμε
PLEYRA1
PLEYRA2

Έτσι έχουμε όλο το παραλληλόγραμμο και μπορούμε να υπολογίσουμε τις συντεταγμένες της τέταρτης κορυφής που είναι Δ(-2,9).

10.5. Συμπεράσματα

Στο κεφάλαιο αυτό είδαμε ότι ο μικρόκοσμός μας μπορεί να χρησιμοποιηθεί όχι μόνο από μικρά παιδιά αλλά και από μαθητές γυμνασίου και λυκείου οι οποίοι έχουν αρκετή εμπειρία με την καρτεσιανή γεωμετρία.

Η λύση των προβλημάτων που παρουσιάστηκαν παραπάνω αποτελεί μια διαφορετική προσέγγιση από το συνηθισμένο τρόπο λύσης.  Τα πλεονεκτήματα της είναι ο αλληλεπιδραστικός τρόπος με τον οποίο βλέπεις τις ενέργειες, ο παραστατικός τρόπος με τον οποίο παρουσιάζονται τα σχήματα, η ακρίβεια με την οποία μπορούν να γίνουν οι μετρήσεις και η ευκολία με την οποία σχεδιάζονται τα σχήματα.

Πιστεύουμε λοιπόν, ότι ο μικρόκοσμός μας εκτός από το να εισάγει μικρά παιδιά στις καρτεσιανές συντεταγμένες, μπορεί να αποτελέσει ένα εργαλείο, που θα παρέχει έναν εναλλακτικό τρόπο για τη λύση προβλημάτων καρτεσιανής γεωμετρίας.
 

10.6. Βιβλιογραφία

[1] Α.ΑΛΙΜΠΙΝΙΣΗΣ, Σ.ΓΡΗΓΟΡΙΑΔΗΣ, Ε.ΕΥΣΤΑΘΟΠΟΥΛΟΣ, Ν.ΚΛΑΟΥΔΑΤΟΣ, Σ.ΠΑΠΑΣΤΑΥΡΙΔΗΣ, Α. ΣΒΕΡΚΟΣ ΜΑΘΗΜΑΤΙΚΑ Β’ ΓΥΜΝΑΣΙΟΥ Οργανισμός Εκδόσεως Διδακτικών Βιβλίων 1991 Δ’ ΕΚΔΟΣΗ
[2] Ν.Βαρουχάκης, Λ. Αδαμόπουλος, Χ.Γιαννίκος, Α. Μπέσης, Δ.Νοταράς, Κ. Σολδάτος, Σ.Φωτόπουλος μαθηματικά Ι γ’ λυκείου ΑΝΑΛΥΤΙΚΗ ΓΕΩΜΕΤΡΙΑ Οργανισμός Εκδόσεως Διδακτικών Βιβλίων Β’ Έκδοση Αθήνα 1984
 
 

[Επιλογές] [Βιογραφικό] [Εισαγωγή]
[Προηγούμενο Κεφάλαιο] [Επόμενο Κεφάλαιο]